This is the most uncontroversial post ever put on this blog — it’s everything the IPCC would agree with and the key to their unshakable confidence.
This post is for the independent thinkers, the brains that want to know exactly where the famous, core, 1.2 °C figure comes from. That’s the number of degrees that a doubling of CO2 would bring, and it’s a figure that underlies decades of research and the figure that the big models are built around. Here, as far as we know, is the simplest, accurate reference to that reasoning and their maths. We have always assumed the 1.2 °C figure is correct, and focused on questioning the feedbacks that are assumed to drive that base figure up to 3°C (or 6°C or molten-Venus-here-we-come!)

We are not criticizing the estimate here, but this is so key and central to the whole climate-clean-green industry, and the models, it has to be laid out. This is the source of “implacable confidence” among the leading thinkers of establishment climate science. It is long past time that skeptical scientists put these details — warts and all — out in public. Dr David Evans is laying out the foundation for a complete and systematic analysis. The heaviest stuff is here and in the next post. The exciting stuff starts after that. For those who want to follow the unfolding science pay attention to the acronym table (and diagrams) below. The notations like ASR and OLR are the language we need to speak.
For those who are not number-heads, stay tuned, I will be spacing other news and stories among the serious science posts, often doing more than one post a day. It’s going to be very busy as I feed in the cutting edge research to the usual mix of politics, citizen science, quirky news and satire. – Jo
2. The Conventional Basic Climate Model — Simple
Dr David Evans, 23 September 2015, David Evans’ Basic Climate Models Home, Intro, Next, Nomenclature.
The conventional basic climate model is moderately complicated when all the bits and pieces are included, so we are going to present it over two blog posts. In this post we’ll just consider the simplest case, direct warming, where the only input is the change in carbon dioxide level, and there are no feedbacks.
Introduction
For those not accustomed to mathematical modelling, this post might seem complicated. To others it may appear rudimentary and insubstantial—“surely there is more to it”. It is ruthlessly logical, squeezing as much information as possible from clues and relationships, but be aware as you read through it of the vast number of climate factors that are ignored.
I’ve tried to make it easier to follow by supplementing many equations with explanations, aiming for a broader audience than just STEM people. With enough diligence and patience (yes, it does take time to think about it), most readers will be able to at least get the general idea.
In any case, it might satisfy your curiosity about how models are made and why some people believe in the carbon dioxide theory despite all the contrary evidence.
There are “partial derivatives” in what follows. They can sound intimidating if you aren’t familiar with them, but a partial derivative is just how quickly one thing changes as another changes, if all else is held constant. For example, how the height above sea level changes as you move north is a partial derivative — it is the slope of the surface you are on (such as a hill) as you move north. Partial derivatives are intrinsic to the model, so there is no avoiding them.
The conventional basic climate model is partially described by two foremost theorists, Isaac Held and Brian Soden, in their paper of 2000 [1], and more completely on pages 163–165 of the “gold standard” of climate textbooks, Raymond Pierrehumbert’s Principles of Planetary Climate [2] (recommended if you want to know establishment climate science). We get the parameter values from the IPCC’s latest assessment report from 2013, AR5 [3].
Steady State
All the models in this blog series are for the passage of Earth from one steady state to another. If the Earth is in “steady state”, everything is more or less in balance and stable, and its statistical properties are constant — it’s not in a transient state. This is not quite the same concept as “equilibrium”, because energy is flowing into and out of the system rather than just back and forth between different parts of the system.
We employ standard notation: the value of a variable (e.g. X) in the initial steady-state has a “0” subscript (e.g. X0), while the change from the initial to the final steady state is prefixed with a delta “Δ” (e.g. ΔX). The variables for the final steady state have no subscript (e.g. X). Thus ΔX equals X – X0.
In steady state, the outgoing long-wave radiation (OLR, the heat or energy radiated to space, denoted by R) is equal to the absorbed solar radiation (ASR, the unreflected portion of the radiation from the Sun that is incident upon the Earth, denoted by A); both the ASR and OLR are about 239 W/m2. This is known as “energy balance” or “radiation balance”, and follows by the conservation of energy applied to the planet: energy in equals energy out. Thus, between two steady states, the change in ASR equals the change in OLR:


Figure 1: ASR in, OLR out. In and between steady states, ASR = OLR.
Acronyms and Symbols
| ASR | A | Absorbed solar radiation (energy from the Sun that is not reflected) |
| CO2 | C | Carbon dioxide |
| ECS | Equilibrium climate sensitivity (the increase in TS when CO2 doubles) | |
| EDA | Externally-driven albedo (albedo independent of surface warming) | |
| L | Base-2 logarithm of the CO2 concentration C | |
| OLR | R | Outgoing longwave radiation (heat/energy from Earth to space) |
| TOA | Top of the atmosphere | |
| TSI | S | Total solar irradiance (energy/heat from the Sun, incident on Earth) |
| TS | Surface temperature (global average air temperature at the surface) | |
| WVEL | Water vapor emission layer (average height of optical top of water vapor) |
Table 1: Commonly used acronyms and symbols in this blog series (also see the Nomenclature pdf, on the author line under the title).
The Set-Up: Only CO2 and Temperature Can Change
Consider the hypothetical situation where only the CO2 concentration and the temperature can change, with everything else about the climate held constant.
The CO2 concentration is represented by C. The amount of OLR blocked by rising CO2 rises logarithmically with C and is thus represented by its base-2 logarithm L:

The mean tropospheric temperatures are assumed to all change uniformly — because the lapse rate is assumed to remain constant, like everything else except CO2 and temperature. Thus the change in any tropospheric temperature is equal to ΔTS, the surface warming, where TS is the mean surface temperature. For example, if the surface warms by 1 °C then the whole troposphere warms by 1 °C and ΔTS equals 1 °C.
How Much Does the OLR Change?
The crucial question: if CO2 and surface temperature each change, how much does the OLR change?
Suppose that the logarithm of the CO2 concentration increases by an incremental amount dL, and the surface warms by an incremental amount dTS (the prefix “d” means an incrementally small increase in the variable that follows, a calculus notation). What is the corresponding change in the OLR R (dR, also incremental)?
The OLR depends only on the surface temperature and the CO2 concentration, because everything else is held constant, so it is a function of just the two variables TS and L. Treating the arguments of R as two independent variables,

This is an application of a well-known rule of calculus for partial derivatives. The first partial derivative is the ratio of change in OLR to change in surface temperature if only the OLR and surface temperature are allowed to change, and is multiplied by the actual change in surface temperature dTS, thus giving the change in OLR due to the change in surface temperature. Similarly, the second term of Eq. (3) is the change in OLR due to the change in CO2. The total change in OLR is just their sum.
Eq. (3) partly answers the question about how much OLR changes, but to fully answer it we need to know the values of the two partial derivatives.
The Two Parameter Values
The first partial derivative, of OLR with respect to surface temperature, is called the Planck feedback. (Although AR5 calls it the “Planck feedback”, it is not a “feedback” in the way that word is used elsewhere in this series, or more generally when discussing feedbacks. Like many climate scientists, we consider that calling it a “feedback” is confusing. Just ignore the “feedback” in its name.) Its value is given by the IPCC’s AR5 as 3.2 ± 0.1 W m-2 °C-1.
AR5 gets this value from the current ensemble of climate models, each of which notes how much the OLR increases with surface temperature, holding all else constant. Before this starts sounding suspiciously circular, later in this series of blog posts we verify this value from scratch—from the Stefan-Boltzmann law, an OLR model, and a spreadsheet calculation. This is the widely accepted value, and we are comfortable that it is about correct. (It is clearly in the ballpark, because it is only 20% less than the value of the slope of the Stefan-Boltzmann curve, 3.7 W m-2 °C-1, the increase in OLR with respect to the radiating temperature of the Earth.)
Throughout the modeling that follows it is more natural to use the reciprocal of the Planck feedback, what we are calling the Planck sensitivity (beware that nobody can quite agree on the name or notation for this quantity):

The second partial derivative, of OLR with respect to the logarithm of the CO2 concentration, is given by spectroscopy, based on radiative properties of CO2 found in the laboratory. It is calculated from CO2’s many absorption lines, under the temperatures and pressures found in the atmosphere. If the CO2 concentration doubles then ΔL is one, so this partial derivative (after switching signs) is the decrease in OLR per doubling of the CO2 concentration when everything else is held constant, and its value is reported in AR5 (p. 8SM-7) as

Again, we accept this figure. People we know have checked it carefully and accept it, and it is replicable from laboratory physics.
With these values of the partial derivatives, Eq. (3) now fully answers the question about how much OLR changes in our hypothetical situation.
The Balance between Temperature and CO2
To convert the description of how OLR changes in Eq.s (3), (4), and (5) into a description of a balance between decreasing OLR due to more CO2 and increasing OLR due to warming, let’s consider a move between two steady states in our hypothetical situation where only CO2 and temperature change. Assuming the planet stays close to steady state as CO2 increases, the incremental changes dX become small changes ΔX, so Eq. (3) becomes

where we have also substituted in the values of the partial derivatives from Eq.s (4) and (5).
The description of the balance then arises from noting that the ASR A is independent of the surface temperature and the CO2 level L, so there is no change in ASR — holding everything else constant breaks any indirect linkages from TS and L to A. But the change in OLR is equal to the change in ASR between steady states (Eq. (1)), so ΔR must also be zero — that is, the decrease in OLR due to extra CO2 is exactly balanced by the increase in OLR due to tropospheric warming.
Noting that ΔR is zero in Eq. (6) gives our balance (after a little rearranging):
![]()
This says that the surface warming is proportional to the logarithm of the change in CO2 concentration (which we already knew, right?), but more importantly it also tells us the proportionality constant—how much surface warming there is for a given change in CO2.
Interpretation
In this situation, the doubling of CO2 can be viewed as a two-stage process:
- CO2 doubles, holding everything else constant, which reduces OLR by DR,2X.
- Then the troposphere warms, holding everything else constant, exactly enough to restore the OLR back to its original level.
Or the two stages can be considered as two processes that occur simultaneously without interfering with each other and we add the OLR changes they each cause (the climate is linear for small changes, so processes and changes superpose).
Diagram
For extra clarity about connections and operations, in this blog series we make liberal use of diagrams of computations — which provide more insight than bunches of simultaneous equations, as long known by those dealing with electrical circuits. In these diagrams arrows indicate the direction of computation or information flow. Fig. 2 illustrates the analysis of this situation, with Eq. (7) providing the computational path.

Figure 2: Conventional basic climate model, for the hypothetical situation where only temperature and CO2 can vary.
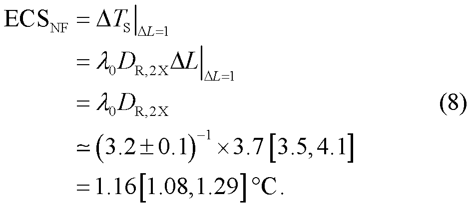
No-Feedbacks Sensitivity
By Eq. (7) the warming per doubling of CO2 when everything else is held constant, called the “no-feedbacks equilibrium climate sensitivity”, is the warming when the base-2 logarithm of the CO2 concentration increases by one, namely

This is the conventional answer. ~1.2 °C is the answer to the question: how much would the surface of the Earth warm if the CO2 concentration doubled, if only the CO2 concentration and the tropospheric temperatures could change and all the tropospheric temperatures changed by the same amount?
It’s a long way from finding the sensitivity of the Earth to an increased concentration of CO2, but it’s a start.
References
[1^] Held, I. M., & Soden, B. J. (2000). Water Vapor Feedback and Global Warming. Annu. Rev. Energy. Environ., 25:441–75. http://www.dgf.uchile.cl/~ronda/GF3004/helandsod00.pdf
[2^] Pierrehumbert, R. T. (2010). Principles of Planetary Climate. Cambridge: Cambridge University Press. This seems to be legit: http://cips.berkeley.edu/events/rocky-planets-class09/ClimateVol1.pdf. See section 3.4.2, pages 135 – 138 of this pdf.
[3^] IPCC. (2013). Fifth Assessment Report. Cambridge University Press.
New Science 2: The Conventional Basic Climate Model — the engine of "certain" warming,












‘…or molten-Venus-here-we-come!’
Be careful, even if said in jest, Venus is hot because of atmospheric pressure and not CO2.
The average punter may not be able to differentiate.
212
Yes, with an atmosphere 90 times as dense as Earths. Mars BTW has almost as much CO2 as Venus (Mars 96% CO2) but is minus 55C. Thin atmosphere.
252
Good point Jo
But the warmers would say that Mars is colder for the obvious reason that it is further from the Sun.
KK
82
well if you swapped the 2, one would cool and the other would heat up. I suppose you were making a joke?
07
You mean the punters with the warmists?
11
Yes, so would I. Surely relative proximity of the sun is the first factor to consider.
31
For truly enthusiastic xenoclimatologists:
Surface pressure
Earth: 1014 mb
Mars: variable from 4.0 to 11.54 mb depending on location and season. (equivalent to pressure at 90,000 – 100,000 ft amsl on Earth)
Venus: 96bars
Total mass atmosphere
Earth: 5.1 x 10^18 kg
Mars: 2.5 x 10^16 kg
Venus: 4.8 x 10^20 kg
EARTH
Major Atmospheric components (by volume, dry air):
Nitrogen (N2)- 78.08% ,
Oxygen (O2) – 20.95%
Carbon Dioxide (CO2) – 0.04%
Minor Atmospheric components (ppm):
Argon (Ar) – 9340;
Carbon Dioxide (CO2) – 400
Neon (Ne) – 18.18;
Helium (He) – 5.24;
CH4 – 1.7
Krypton (Kr) – 1.14;
Hydrogen (H2) – 0.55
Numbers do not add up to exactly 100% due to roundoff and uncertainty
Water is highly variable, typically makes up about 1%
MARS
Major Atmospheric components (by volume):
Carbon Dioxide (CO2) – 95.32% ;
Nitrogen (N2) – 2.7%
Argon (Ar) – 1.6%;
Oxygen (O2) – 0.13%;
Carbon Monoxide (CO) – 0.08%
Minor Atmospheric components(ppm):
Water (H2O) – 210;
Nitrogen Oxide (NO) – 100;
Neon (Ne) – 2.5;
Hydrogen-Deuterium-Oxygen (HDO) – 0.85;
Krypton (Kr) – 0.3;
Xenon (Xe) – 0.08
VENUS
Major Atmospheric components (near surface, by volume):
96.5% Carbon Dioxide (CO2),
3.5% Nitrogen (N2)
Minor Atmospheric components (ppm):
Sulfur Dioxide (SO2) – 150;
Argon (Ar) – 70;
Water (H2O) – 20;
Carbon Monoxide (CO) – 17;
Helium (He) – 12;
Neon (Ne) – 7
20
Putting the 96 bar of Venus in perspective. 96 bar is the pressure of a column of water 960 meters high or a pressure of 1360 lbs/ft-2
Or the pressure at 950 meters below the surface of the ocean.
10
Surely you meant around 1400 lbs per sq. in. rather than sq. ft.
English units can be tricky.
00
Probably good to remember that Mars has an atmosphere that is about 100 times thinner than Earths but at 95% CO2 the concentration per unit volume is about 20 times more.
All else being equal, the average temperature should be 45-50°C less than Earth just because of the further distance from the Sun. A lot more to be considered for a proper estimate but 4L comes out to be 5°C warmer than it would be with our levels of CO2.
21
Joanne Nova.
“Mars BTW has almost as much CO2 as Venus”
No it doesn’t. You cannot compare the composition of the atmosphere by just considering percentages.
The atmosphere of Venus has a great deal more CO2 than the atmosphere of Mars.
03
How much is ‘a great deal’? How much will this ‘great deal’ cost? How much bigger does a deal have to become, to turn from a ‘minor deal’ into a ‘great deal’?
Curious people would like to know.
21
Hi,
I have been an interested visitor for some time, and appreciate your efforts.
A query re the text
Suppose that the logarithm of the CO2 concentration increases by an incremental amount dL, and the surface warms by an incremental amount dTS (the suffix “d”
Do you mean prefix d?
Anyway, keep up the good work!
regards
David
160
Fixed, thank you David.
130
Am I right in thinking that the CO2 absorption effect quoted here is a theoretical figure that makes the assumption that nothing else in the atmosphere (in particular water vapour) is doing any absorption? If so, the actual CO2 figure will be quite a lot less than the theoretical figure due to overlapping absorption bands.
Pierrehumbert’s book is available free online, a Google search should find it.
40
The 3.7 W/m2 figure allows for the current concentrations of other GHGs, I believe.
Pierrehumbert’s book is downloadable! This seems to be legit: http://cips.berkeley.edu/events/rocky-planets-class09/ClimateVol1.pdf. See section 3.4.2, pages 135 – 138 of this pdf. I’ve followed the Held and Soden treatment more closely, and neither account by itself has all the features covered in the next post.
90
Ever seen a ghg equivalence figure for water vapor! Hell no. Then there is the not insubstantial problem of increased atmospheric cooling due to increased ghg gas concentration. Plus Stupid boltsman breaks down if a sytem converts energy to a form other than sensible heat energy(temp). Sigh.
92
I’m probably just being dense, but the Stefan-Boltzman law deems that the absolute temperature of a body will increase according to the fourth-root power of the radiation that is warming it. By that law, an increment of radiative forcing at a higher temperature should produce less warming than at a lower temperature, not linear. This would imply that if the troposphere (at a temperature of 255K) got 3.7W/sq.m of radiative forcing then that would produce about 1K of warming although at the surface where the temperature is 288K it comes out as 0.7K. Why would the warming be equal?
I suspect I’m missing something simple or have just misunderstood it.
100
The SB law is implicitly being applied, by virtue of using the Planck sensitivity. However for the ranges of temperatures under discussion, the SB law is approximately linear: a graph of radiation versus temperature from say 250 K to 260 K is pretty close to a straight line — although the graph is obviously quartic if you graphed it from say 0 K up to 300 K. The Planck sensitivity is roughly (to within 20%) the slope of this curve at 255 K. This approximation is what justifies multiplication by the Planck constant in the model.
The SB curve from 250 K to 260 K, and from 200 K to 300 K.
Most non-linear systems are approximately linear over sufficiently small ranges, and many systems we think of a linear are non-linear once one moves outside the normal range of values.
(The quote is merely making clear what it means for all tropospheric temperatures to change uniformly, in line with the “surface temperature”.)
91
What I briefly stumbled on in that passage was that the S-B derivative is taken at 254 K (presumably the effective-emission-altitude temperature) rather than something closer to a normal surface temperature; the context was T_S.
I take it we should assume a step where the lapse rate relates the change in the surface temperature to the difference between the temperatures of the previous and current effective emissions altitudes?
50
Lapse rate changes are a feedback in the conventional model. They are a negative feedback (as the surface heats here is more evaporation, moister air has a lower lapse rate, so an emission layer at a given height becomes warmer and emits more OLR, so the surface emits less OLR, so the surface is cooler).
We’ll be dealing with lapse rate changes in later posts.
61
Thanks again for your response.
Actually, I hadn’t intended to bring up second-order stuff like lapse-rate feedback; honest, I’m not trying to hijack the thread.
I was just suggesting that as a matter of exposition it wouldn’t hurt to explain why, given that the temperature response you’re dealing with is that of the surface, you instead evaluated the S-B law derivative at the effective emissions altitude. I’m not questioning whether you were correct to do so. I’m only pointing out that not all of us were born knowing this stuff, and I for one have to puzzle through that question when the subject arises.
But I also understand that you have to exercise some judgment about how much to explain; too much and too little both lose readers.
50
“you instead evaluated the S-B law derivative at the effective emissions altitude”: This is pretty important and we’ll be spending some care and detail on this in future posts.
The basic strategy in these posts is to provide a single linear narrative that covers all the main points without forward references. To start off, we pretty much have to show the conventional model, to show what it is precisely. Demonstrating that it is in error is the initial focus. As we unpack it, and rebuild it into the alternative model, we’ll get into more detail about the physics of OLR.
How much to explain and when is a real nightmare (literally, almost). We already frightened the less technical readers when I stuck up an equation and probably lost them when the partial derivatives came along. However, this is the territory upon which climate alarmism truly is built, so on we must go.
71
David,
Some of us try
Even if Calculus is a distant nightmare from four decades ago.
10
Venus does offer the strongest empirical evidence that CO2 has little effect upon atmospheric temperatures – i.e. that degrees per doubling are nil or negligible. At altitudes where the Venusian atmospheric pressure is at Earth equivalent, the temperatures are about 66°C (339K), which is about what the Earth’s surface temperature would be, should it be as close to the Sun as Venus. As the atmosphere of Venus is about 97% CO2 – i.e. over 11 “doublings” of Earth’s – then, for the ECS theory to be true, the temperature should be at least 77°C (350K), perhaps more than 100°C, depending upon which “doubling” figure most floats your boat. As it is not, then any “doubling” is irrelevant.
183
And Mars too perhaps
From Sherwood Idso 1988 and 1998:
So much for spectral line-by-line computations.
151
Radical Rodent’s comment shows how ineffectual the public debate is, and has been all along, on sites such as this one. I did the Venus/Earth comparison, and other related postings, from which his information comes, and as its author I would have either begun or concluded his comment with the real point to be made, in the context of this “new” analysis by David Evans: The Equation 5 above is invalidated by my Venus/Earth comparison, that is, by the observable facts in the atmospheres of Venus and Earth, so his analysis must stop right there — it’s done, it’s over. Period. Analyses that start with the assumption (based upon Pierrehumbert’s, and every other “expert’s”, radiation transfer theory and “laboratory physics replication”) that increasing atmospheric CO2 MUST have SOME effect upon global mean surface temperature–are simply beside the point, irrevocably and precisely shown by the Venus/Earth comparison, that CO2 does NOT, in fact, have ANY such effect, all the way from 0.04% CO2 (in Earth’s atmosphere) to 96.5% (in Venus’s). Trying to undo that fundamental mistake (as you are no doubt going to do in the later posts) by looking for complicating “feedbacks” to undo (PRECISELY undo, mind you, if you’re going to “explain” the Venus/Earth result, AS YOU MUST) that religious belief in a CO2 effect–the “greenhouse effect”–is incompetent avoidance of the awkward, but DEFINITIVE, truth shown by my Venus/Earth comparison: There is no such effect, in the real planetary atmospheres (despite whatever consensus intellectual masturbation is going on in the “laboratory”, and in the minds of the greenhouse effect believers).
After all this time (I did the Venus/Earth comparison almost 5 years ago now) you greenhouse effect believers have learned NOTHING. This WILL END in World War III, because half of the electorate and all of our institutions are suborned, just as you are, by what is nothing more, in the final analysis, than an obvious, dogmatic lie. And those who will not abide living with such a lie will, sooner or later, try to beat the living hell out of all of you–and you will have brought it on yourselves, on all of us. (And climate “science” is just one of the dogmatic lies now threatening mankind on Earth. Those who will attack you will be those with no better false dogmas than yours.)
1231
I see you are so much more intelligent than any of us. Thank you for your invigorating contribution!
103
Well, he is certainly more abrasive than most of us…
However, that said, he does talk a lot of sense, and offers an interesting alternative.
147
That is a fairly obvious attempt to shut-down the conversation. I have known bricks with more subtlety.
As such, it begs the question, “What does Mr Huffman fear, from David continuing his thesis to its natural conclusion?”
I am now even more prepared to listen to, and learn from, what David has to say. Perhaps Mr Huffman should consider that option, as well.
100
Harry Dale
I see that 5 people have given you a red tick, possibly because of the strong tone but who knows.
At the moment I am set to read all of it right through to the end of the series.
David has put so much effort into this that I want to see it all since he has access to minds that are better than mine in the relevant matters.
There are however several matters which I have brought up previously:
As an engineer I was taught that use of the SB equation outside of very controlled lab conditions was fraught with problems.
In the real world these were overcome by “calibrating” the system under investigation to determine the appropriate B*gg*r factor for that system.
David has mentioned how he has dealt with the SB input and as I am not much on maths at the moment have to assume that it is OK.
Your assessment, which somebody referred us to on Venus and now Mars may be a reference point from which to start calibrating.
One matter which bothers me is the term “doubling”.
From a previous comment :
“Statements that are aimed at defusing the Man Made Global Warming theory concede that doubling CO2 will lead to 1.2 C deg increase.
I am not at all sure that this is correct and it certainly hasn’t been tested empirically.
It may also be taken to mean that after the first doubling you can “double up again” and get another 1.2 C.
The asymptotic reduction in temperature gain for each doubling says that it won’t ever be 1.2C again but something much smaller.”
Enough. The mysteries of CO2 science in the real world is a giant puzzle.
Looking forward to the next posts.
KK
170
Harry,
I take your point and it is obviously valid, but the fact remains what you did 5 years ago has not had “cut through” even though it is right.( Real Science has raised it again today on one of its threads).
So David and Jo , being on the same side, are trying another way to achieve the same result you want to achieve. Like KK I will wait until all the posts are presented before passing judgement.
I’m not a scientist or an engineer but it seems to me the approach David is taking “lets for the moment agree with very basics of the mainstream climate models and look at how accurately they have built up their models on that basic physics –lets double check all the assumptions and see where we get”. Clearly along the way David is going to show us there are some major errors. ( Correct me if I’m wrong David).
But I think from a political perspective this is a fantastic way to approach it. Lets not forget that the whole AGW issue is clearly a political and economic issue now (even if at the start it was a scientific argument).
158
Harry where have you been all my life?? If you are not married can I propose?
Thanks for putting in words my exact, lasting and current position and for doing it in a way that leaves no ambiguity of your regard for the rabbits in the spotlight of this pervasive myth.
Good on you!
710
Harry,
Dr. Evans has chosen to express all of what the climate models include, correct or not. Falsification of the incorrect comes later!!
I agree with Dr. Evans approach. This must be systematically done to have any effect. Please use these threads to simply point out again what you have, to insure that Dr. Evans eventually covers all of the errors, intentional or not. Thank you. -will-
917
Harry,
I have previously read your planetary comparisons, Very interesting. Since they follow from the ideal gas laws, which may be regarded as well confirmed, or true, you make a compelling case. For instance, Hanson’s runaway Venusian heating is obviously out of the question unless we add 89 bar of CO2 (89,000,000 ppm).
And yet.
We know that radiative transfer does occur between layers of the atmosphere. You cannot stop it. If they are at different temperatures, there us a net energy transfer, and hence a change in lapse rate. i.e. Not an adiabatic process. Perhaps this integrates vertically to zero. Perhaps not. CO2 is a minor radiator at low altitude, and a major one at high altitude. The lapse rate varies in magnitude and changes sign at least twice with altitude.
The lapse rate is caused by vertical gas transport, by turbulence and convection. If there were no vertical motion, only radiation ,conduction and phase change, then we would see enormous temperature gradients.
Total heat transport from surface to radiative layer is complex, and varies geographically, vertically and temporally.
Settle down Harry.
Tranquility and sagacity come from grokking in fullness.
612
Hi Harry,
David is just setting out the AGW proposition as a first step.
I’m in agreement with you and certain others that the effect of CO2 comes out to zero and that the Venus / Earth comparison is one of several observations in support of that.
As I recall, that was the established science of my schooldays in the mid 20th century so even your early posts were not original.
I am in the process of liasing with David over a description of the effect of GHGs on lapse rate slopes and surface temperatures which I hope he will publish as part of his series.
That description shows how and why changes in the vertical thermal profile of an atmosphere allow convection to neutralise radiative imbalances so as to maintain the hydrostatic balance within that atmosphere.
In the end it just comes down to basic meteorological processes which the climatology establishment has failed to apply to its real world analysis.
219
Why 5 red thumbs for that ?
018
Because you have nothing but BS!
162
I am coming to this discussion late and ill equipped in terms of understanding much of the physics and what is accepted/proven versus what is theory but this comment gets to the meat of one of my fundamental gaps in understanding. What do we really know about the assumption that CO2 in the atmosphere necessarily warms the atmosphere by some amount leading to a rise in atmospheric temperature to reach balance of energy inputs and outputs? The reference to laboratory proven principles is what I am after.
I understand the molecular process of absorption and emission of long wave (infrared) radiation within the same wavelengths. But how does that necessarily warm the atmosphere or reduce OLWR. Is it simply slowing/delaying the transmission of OLWR from bottom to top of atmosphere, is it increasing the thermal heat capacity of the atmosphere or is it some other effect?
The term “greenhouse” gas is misleading as a greenhouse warms primarily by enclosure (prevention of convection) and a greenhouse built of materials equally transparent to short and longwave radiation warms essentially as well.
I can’t help think this is more about the atmosphere acting in some way as an insulator which in my mind is still an enclosure effect. Good thermal insulators seem in general to work through enclosure of a low thermal density substance (e.g. air or vaccuum) next to the insulated heat source so that the process of heat conduction/convection is impaired. Presumably reflective thermal blankets act as insulators by being both an enclosure but in this case providing a one-way reflective barrier to thermal radiation. I can’t see how either of these effects works in a fluid atmosphere where absorption and emission are not directionally constrained.
Any help?
00
Without an atmosphere, the Earth would radiate IR in roughly a blackbody spectrum, with an emissivity of 98-99%. If the atmosphere were only 1 meter thick, or if there was no lapse rate, the CO2 in the atmosphere would have the same temperature as the surface, radiate all received energy at the top of the atmosphere, and the outgoing IR spectra would be unchanged (98-99% emissivity, very efficient). 240 W/m^2 incoming energy would be matched by 240 W/m^2 at about -18C.
However, there _is_ a lapse rate, with temperatures cooling through the troposphere. IR doesn’t escape to space at GHG frequencies until the GHGs are thin enough that 50% or more of the IR emitted towards space isn’t absorbed again – and that happens mid-troposphere for H2O and around the tropopause for CO2 wavelengths.
This means that by the altitude where H2O and CO2 (at their respective wavelengths) are thin enough to radiate to space, they are cooler than the surface – and they emit less energy to space. You can actually map the energy at each frequency against the atmospheric temperature profile to see at what altitude that IR frequence was emitted from, including the ‘spike’ around 670 cm^-1 where the emission is coming from CO2 in the warming stratosphere [image here]. The emission plateau from 650-700 marks the tropopause at an average temerature of about -60C, or 215K.
The result is described as the “effective emissivity” to space, around ~0.61, meaning the surface has to be at 15C to radiate 240 W/m^2 to space to balance incoming energy, rather than -18C.
If additional GHGs are added, the altitude of 50% emission rises as well, to cooler altitudes, and less energy goes to space – an imbalance. This can be considered as a drop in the effective emissivity. Energy accumulates, the surface warms, the atmosphere warms, the upper atmosphere (scaled by the lapse rate * altitude) warms as well, and balance is reached again at a higher surface temperature.
[Note: along with surface warming, the tropopause has been observed to rise over the last few decades.]
We wouldn’t have a radiative greenhouse effect (yes, lousy and confusing terminology, but there it is) without the atmosphere and a lapse rate.
80
KR,
You accept that the lapse rate comes first and that the lapse rate then controls the level of radiation to space from any given height.
You overlook that the lapse rate is caused by conduction transferring energy from surface to atmosphere and by convection operating within a declining density gradient caused by gravity.
Thus the fact is that the vertical thermal profile is set by mass and gravity via conduction and convection so that the observed radiative fluxes are a consequence and not a cause.
Any radiative imbalances within a hydrostatically balanced atmosphere are neutralised by convective adjustments but those adjustments required to deal with radiative gases would be too small to measure because the entire mass of the atmosphere is imnvolved and GHGs count for virtually nothing.
218
Thank you KR and SW. I think this helps me at least understand the why of assuming an “insulating” effect for CO2 and other “greenhouse” gasses in the atmosphere. I will step back and enjoy the ride again but will also be watching to see if the difference between your two responses are ultimately resolved. I will also try to get the image of a farmer’s hothouse out of my mind as a useless distraction. Regards
30
Andy,
The farmer’s glass hothouse image is still useful.
Descending air reduces convection from the surface below just as does a greenhouse roof.
Clouds dissipate within descending warming air which increases transparency so that more insolation reaches the surface. That is similar to the transparency of a greenhouse roof.
That was why the mass induced ‘greenhouse effect’ was originally so named, long before the radiative theory came along.
118
Damn, so simple isn’t in it. Now my head hurts and I will have to run home and open a bottle of wine, but thanks for the education.
00
The lapse rate is directly driven by temperature, pressure, and thus convection. The effective radiative altitude for each GHG frequency is set by where there is too little GHG absorption above that altitude to intercept more than 50% of the emitted IR, which is driven by the partial pressure of GHGs and declining pressure with altitude.
The radiative fluxes are a result of the effective radiative altitude (GHG concentration and total column GHGs between that altitude and space) _and_, separately, gas temperatures at altitude (driven by the lapse rate).
Increasing concentrations and hence partial pressures of GHGs increases the effective radiative altitude – and thus decreases the IR to space at those frequencies. There’s no contradiction there, and your last paragraph is IMO a non sequitur.
120
KR
The lapse rate is not driven by temperature.
It is driven by insolation at the surface resulting in conduction followed by convection into the declining density gradient caused by gravity.
Temperatures within the atmosphere from the surface to the boundary of space are a consequence of that process and not a cause of anything. The radiation fluxes follow from the thermal energy distribution which declines with height.
One can liken it to the observation that once water in a pot heated from below starts to boil it never gets any hotter than 100C however much one increases the energy supplied to the base.
The ‘surplus’ energy goes straight to the vigour of the convective undulations in the surface boundary with the air above rather than to raising the temperature of the water at the base. One can only increase that 100C at the base by adding to total pressure of mass bearing down on the water at the base. The same principle applies to the gaseous ‘fluids’ of an atmosphere
In the same way a planetary atmosphere can not allow the surface beneath to become any hotter than the temperature required to ensure that energy out equals energy in. Any surplus goes not to raising surface temperature but instead to the vigour of convective undulations at the boundary with space or if there is a stratosphere at the tropopause.
That ‘extra’ 33k at the surface (or whatever the actual figure is) goes to setting and maintaining the vigour of convective undulations at the tropopause and NOT to any increase in surface temperature.
Only an increase in atmospheric mass or the strength of the gtravitational field will increase surface pressure so that surface temperature can then rise further. GHGs will not do that.
If one adds GHGs one only sees a change in the vigour of the undulations at the tropopause. If GHGs have a net absorption effect from the ground then the vigour of those undulations will increase but if GHGs had a net radiative effect to space then the vigour of those undulations will decline.
Either way, surface temperature is unchanged.
The baseline pattern of undulations in tropopause height upon which GHGs act was originally set by the pattern of uneven heating at the surface. That underlying pattern would be present with no GHGs at all.
The common AGW proposition that an atmosphere without GHGs would become isothermal is utterly false.
017
The sequence of priorities for energy that has been acquired by conduction from the surface and then convected upward within an atmosphere is as follows:
i) Establishing hydrostatic balance.
ii) Matching radiative energy in with radiative energy out
iii) Setting the vigour of convective disturbances at the system boundary.
Convection within the body of the atmosphere always adjusts to negate any radiative imbalances:
http://www.public.asu.edu/~hhuang38/mae578_lecture_06.pdf
017
If I’m getting a shedload of red thumbs for just stating some long established science then I must be getting under the skin of various cranks
114
Your spoutings are intentional and deliberate deception!
All tropospheric temperature, and exit flux at any altitude is higher than that supported by EMR surface exit flux itself! You can jump, or be thrown into whatever most ugly, in this fine free country!
117
Looks like a firm foundation and was fairly easy to follow.
Following Audiophile_AU, I also have a readability suggestion. This next sentence seemed awkward and the math was easier to understand than the text:
The CO2 concentration is already represented by C, so L does not represent that. That was the confusing part.
I believe L is proportional to total broadband optical depth of CO2 from surface to TOA, which is then proportional to how much OLR is blocked by CO2. That’s why ∂R/∂L is negative. The ΔL is proportional to the change in optical depth of CO2 and the subsequent math shows why it can be calculated using a pCO2 ratio.
Can you consider revising that sentence to become this:
>> The CO2 concentration is represented by C. The amount of OLR blocked by increasing CO2 rises logarithmically with C and is thus represented by its base-2 logarithm L.
Maybe add it to the symbol table too?
111
Good suggestions. Done. Thank you Andrew.
80
/Thank you Dr. Evans,
Your two partial derivative equations clearly illustrate the fundamental,but fatal flaw in the whole CAGW scam. This is the deliberate,intentional, and premeditated corruption of our limited knowledge of things physical.
Your dR/dT is the correct flux change for a 253 Kelvin blackbody surface radiating to space. It is also correct for a cross-sectional area at 287 Kelvin gas of one optical thickness with the equivalent emissivity of 0.632 as for that optical thickness. Both are regularly used in engineering for this atmosphere.
Your second partial derivative could be considered correct only if CO2 were the only atmospheric gas and at a temperature much lower than that of radiative equilibrium.(The requirement for flux attenuation by gas absorption). This also is well known and used by optical engineering since late 1960s. Ever since the HiTran data base was in situ verified.
The Earth’s lower atmosphere has a lapse rate that is lesser than that required for radiative equilibrium by 4-12 C/km. This in turn has the radiating troposphere always radiating exit flux greater than that received from below. Exit flux accumulates all the way to 120km. That received from below can never be considered as absorbed or attenuated. as it provides no rethermalization of any part of the atmosphere.
The only so called scientific community that refuses to consider this is called atmospheric physics (formerly meteorology).
This deliberate misapplication of the known can no longer be attributed to incompetence!
All the best! -will-
1815
In support of this comment NASA reported that the satellite measured OLR increased with the increase in CO2, whereas we know that the surface temperature has remained stable for nearly 20 years.
ie, more CO” more cooling.
101
While I don’t understand a lot of the detail there is something that stands out.
Your comment says that heat or energy CANNOT GO BACKWARDS AGAINST THE THERMAL GRADIENT.
KK
40
“Your comment says that heat or energy CANNOT GO BACKWARDS AGAINST THE THERMAL GRADIENT.”
Heat or energy does not spontaneously go against (uphill).
Electromagnetic Radiative flux, EMR flux is never heat energy. EMR obeys Maxwell’s equations. What an absorber does with such EMR flux is up to the absorber. Thermal EMR flux also obeys the Clausius second law about spontaneity!
Your CAGW fraudsters revived the noxious, invalid, Schuster Schwarzschild two stream approximation. They can now live with their fraud, until I can demonstrate its proper restoration to their appropriate bodily orifice!
All the best! -will-
315
Question, Will. Are you trying to help me understand what is being presented to me more easily, or are you trying to dazzle me with your superior knowledge? If the first is the case, you are failing miserably, and if the second is the case, blowhards have never impressed me, no matter how accurate they are. They always come across as little people trying to be big people. Michael Mann comes to mind as an example. If you have scientific issues that might affect the project, why not email them directly to Dr. Evans and stop confusing the lay people trying to learn something so they can support the correct side of the issue.
And if this BLOG is only for Climate experts, then please let me know, Jo, as I am trying to learn from the ground up, not from the clouds down. I had just enough exposure to higher math to know that without a desire to specialize at the time I was learning it, it had no value in my personal, practical world. I think, though, the exposure gave me enough to grasp the essence of what is being said, but I must admit, all the confusion thrown in at ionospheric level while I am only on top of the nearest hill at about 600 meters, is far less useful than worthwhile. If I have misspoke, please feel free to let me know, Jo.
50
So far so good…. but let me remind you that you have assumed that the only way for a warmed earth surface to gain or lose energy is radiation
The problem is that this IS NOT TRUE !
For a start the energy of the earths rotation in 100,000 times annual insolation, the energy of earths rotation around the sun is 400 Billion times annual insolation.
These kinetic forces cause tides and jet streams that add heat energy into the system. Thermals, and heat driven winds and waves extract heat out of the climate system and dump it into the kinetic systems, Radiant energy in = Radiant energy out is WRONG and does NOT represent energy conservation. Total energy in = Total energy out does. Unless you quantify Total, and account for all the contributions and losses you are going to be wrong.
Not to mention all the other losses like say Photosynthesis which by itself represents about -1 Watt per square meter.
Just human body heat represents about +4 mW per square meter not to mention our direct energy use! Add in all the other warm blooded species and that could easily be 100mW per square meter.
An average 2m ocean swell represents some 36kW per square meter, that’s right kilowatts – but incoming radiation is much less than 1kW per square meter, if just 1% of that ocean energy ends up as heat of friction then thats +210 Watts per square meter. Jet stream friction ( I haven’t worked out that one in detail ) but there is phenomenal energy in there around 400kW per square meter of swept area – note that this isn’t surface area, its a vertical crossection through the jet stream. If just 1PPM of that were lost to friction in each 1 cubic meter of jet stream, then that would represent about +2000 Watts per square meter in the region of the jets.
As the atmosphere and oceans heat, they expand, this the average potential energy of the ocean/atmosphere which if I recall correctly represents about -2 mW per square meter for the oceans, haven’t calculated for the atmosphere!
Then of course there is ice melting/solidifying, oceans evaporating/condensing, kinetic and sound energy of rain, electrical and sound energy of lightning, even human skin converting cholesterol + sunlight into vitamin D. Wind, storms, erosion, solar wind, the list goes on.
Unless we know the magnitude of everything that adds or robs heat energy then we can’t establish the basic relation A=R !
Your model fails right there, the assertion that radiation in = radiation out is not plausible and is unproven, it is in fact wrong!
We should also bear in mind here that the log law from CO2 to temperature MUST break down at some point for example if Co were small ( approaching zero ) delta L will absolutely NOT be infinity. Projecting back at -1.2 deg per halving results in absurd outcome for more than 20 halvings. It’s effect is physically limited by the available energy, and so is delta L for high values of Co. Delta L can only follow that relation iff atmospheric density is NOT held constant. Since burning coal does not increase atmospheric volume this relation will not hold as O2 is reduced in proportion to CO2 rise. Energy interception by CO2 will saturate, as there is only so much energy available in the absorption band and atmosphwric mass is limited. The equation is a good approximation but it will almost certainly not hold for large values of Co where total atmospheric mass is constrained to 1 atm
( Co being your C(0) assume o is subscript zero)
160
Mass Transfer,
Heat Transfer
and
Momentum Transfer
Must all be accounted for in a model where all are at play. They are all at play.
KK
90
One more point, consider an log law amplifier, the output is ln ( V/V0 ) so what happens as we increase V, the output increases according to ln (V/Vo) untill the output reaches one of the power supply rails, the output approaching and after this point is no longer ln (V/Vo) because the amplifier becomes energy constrained, it saturates because the power supply can no longer deliver the energy to increase output! The fraction of energy in the stop band of CO2 is powering this conversion, as we approach 100% opacity this reaction WILL saturate. Put another way, climate sensitivity is a function of CO2 partial pressure. That is in the general case
Delta T = K x ln( C/Co ) … K is an (inverse) function of C or T ( or both ) and will tend to zero as temperture/ CO2 increases ( particularly as T approaches about 30 degrees over water ).
90
I am agreeing with the establishment scientists about radiation in equaling radiation out, their feedback figures, their spectroscopic values, etc … and showing that they got the architecture wrong and that doing it more correctly dramatically lowers calculated sensitivity to CO2.
191
In your hypothetical agreement though, you are perpetuating a myth. In my opinion you should do it in a way that does not imply that you agree with A=R, secondly, knowing there are all these missing sources and sinks, starting with A=R means that your work is as meaningless as theirs, you start with a mousetrap that can’t catch mice and end with a better mousetrap that still can’t catch mice – what’s the point?
Should you not instead, reformulate the equation to be correct AND point the way forward on all the energies that need to be considered in order to correctly formulate the energy balance IE.
R = f(A)+ f(E)- f(S) where E is Energy added and S is energy sunk via non longwave radiation means. Then make the explicit assumption that is known to be incorrect, that f(E) and f(S) are zero and f(A) = A – HUGE LEAP ALERT…. point the way forward R=A is wrong and has to go! The climate is not a lossless perpetual energy machine.
Once you have done that I suspect you can proceed as before but you will probably need to appropriately add f(E) and f(S) back in after you have dealt with just the radiative bit.
I suspect that climate science has been derailed because there is an APPARENT radiative energy balance, and it’s therefore tempting to assume that the non radiative sources and sinks are negligible. Assuming however, is a far cry from proving. You just don’t know, it could be that all the outgoing IR comes from jet stream friction and the incoming insolation ends up somewhere else, doesn’t make any difference from a temperature perspective but the effect on the assumption that R=A is devastating – and changes everything we think we know.
The approximate radiative balance does not tell us that f(E) and f(S) are zero, it tells us that f(E) – f(S) is approximately equal to -(A – f(A)) which holds for zero values of these functions. In fact f(E) and f(S) could have magnitudes hundreds of times R and provided this relationship is true there would still be an apparent radiative balance except that you can no longer assume that A begets R.
50
Let Dr. Evans do this his way please! Your points may well be included later. I think comments here are most helpful if they point out pitfalls without condemning the procedure chosen!
I agree that much of the errors are attributable to the use of symbolic formula, with the user having no clue as to the physical meaning of each symbol!
All the best! -will-
315
Thank you Will, The way to defeat this AGW monster is as David is doing, prove their proofs, feedbacks and math’s is wrong. In that way they have no where to go.
214
I’ve not prevented Dr Evans from doing anything. What I have done is simply shown that the result of his reassessment is meaningless. If Dr Evans sees fit to proceed in reformulating the basic physics model then he is entitled to do that, but without also correcting the components of the energy balance the model he derives will not describe the atmosphere any better than the current model does. I simply challenge whether this is the best way to proceed, Dr Evans is free to take on my advice or not at his discretion, though I’d urge him to consider the reformulation of the energy balance assumption in a manner similar to what I suggest. At worst it’s harmless ( because setting f(S) and f(E) to zero reduces to R=A) and at best it raises valid questions about the basic physics model.
20
bobl September 24, 2015 at 10:39 pm ·
“I’ve not prevented Dr Evans from doing anything. What I have done is simply shown that the result of his reassessment is meaningless.”
Not at all! You simply insist that Symbolic formula/logic must be applicable to this physical With no necessary connection between the symbolic expressions and the physical.
Where mistakes can kill you, Mathematics and symbolic algebra,may help, but not much!
016
I am so going to steal that sentence. It captures a concept I have been struggling to express for years.
Thank you bobl.
20
Bobl, I would sum it up as climatologists would like to understand the climate by reasoning from first principles instead of trying to look at it empirically. It looks more impressive rather than is the more practical approach.
It should be obvious that there is too much that is unknown to be even pretending that you can understand the climate from first principles but please let Dr. Evans point out the obvious flaws in their attempts.
20
David, will the total of your explanation of your model be available as a PDF download? In general I enjoy reading comments, but I find that in this case, I would rather be able to read the entire thing without all the distraction of the contrarian science arguments. I understood that you were presenting this as a steady state item at this time with minimal variables, but every time I look at a different comment, I see complaints about the presentation not showing this, or that or something is contrary to fact. I think all the “scientific complaints” were issued at the end of the total presentation, it would be more informative. It is sort of like having every art critic I the world critiquing a painting when the artist has only put brush to the canvas for 5 minutes.
As such, I would like to be able to see your “art work” progress from the first brush strokes to the finished canvas and then see what the critics think. Will this be possible?
00
The posts are written up as two science papers (see post 1), submitted to a journal who then owns the copyright. After the journal publishes them they will be available as two pdfs, I expect. The papers are much the same as the blog posts, though somewhat terser. If there is sufficient demands I might write a book explaining it all with simpler explanation and more diagrams or graphs.
31
The single underlying problem to all of the steady state nonsense, as well as the underlying assumption that Carbon Dioxide gas, something tree’s eat in abundance and that every living, breathing mammal farts and exhales, is those who clearly failed to pay attention in high school, or like many, failed to understand, comprehend or even bother to basically become informed of facts, or who willfully or otherwise choose to be ignorant and content in that latter position.
However, the Principles of Planetary Biology and Physics is what it always has been. Albeit, hotter, colder, drier, wetter, etc.
While the various Wunderkind ™ may have a different opinion, which varies depending on the respective and fashionable opinion of the day, and bully for them, unfortunately, Planetary Biology and Physics, being what they are, don’t tend to trend on Twitter, or anything else.
Oddly enough, even if Planetary Biology and Physics had Gaian emotions, it still wouldn’t make a difference.
So, speaking of which, let’s be very rude and throw some ancient history into the mix.
While I greatly distrust and lack respect for the political and ideological abuse of the attempt to create a human knowledge repository, without the author being recorded and noted and held to account, we have to deal with what we have, at the end of the day.
As they say in Software development, or any theory based field, this is the proof of concept, albeit the Beta version.
As at the 23 September 2015, subject to alteration, we have the following at: https://en.wikipedia.org/wiki/Geologic_temperature_record
This shows us that Planetary Biology and Physics, being what they are, we had a much warmer time of things, from around 500 million years ago, to around Three to Five million years ago.
Again, oddly enough, things flourished on a scale never seen since. Also, even more oddly enough, Carbon Dioxide was in abundance, in fact, at the least, a factor of five times greater than today.
When we also note the time scale of Three to Five million years ago, we see a dramatic drop in global planetary temperature.
For some reason, as yet not explained by the Wunderkind, ™ other than mankind upset Gaia when they raped the earth, simply by being here, is lot’s of things started to die off.
That it got cold, again, seems to be glossed over, or not well presented.
Actually, when you look at their own charts, it’s a wonder there is anything here at all.
So, based on the arguments so presented by those who either want to Carpet Bag civilization, or those who wish to worship Gaian rat-baggery or simply those who want to usher in a new era of Socialist harmony not seen since the time of Attila the Hun or more recently, Stalin or the recent departed Gaian King of Social Justice and amateur Farming Practice, Pol Pot, bear in mind that they last time humanity embraced your wisdom, en-mass, it was called the Dark Ages.
Unfortunately, then, as now, it started in the middle of Europe, a third world nation at the time, much like today, over local civil wars and unwelcome immigration.
The reining superpowers of the day also collapsed within a decade, including the Republic of the day.
Unless I am mistaken, we are looking at the historical tipping point having been reached. Good luck to you dear Wunderkind. ™ Watch your backs. Watch your so called compatriots.
I would also have those Wunderkind ™ who think they will fare well out of this, remember this.
That life was ugly, brutal and short, for all concerned.
As for the Wunderkind, ™ they fared even less well.
80
As a point of language, although I haven’t spoken German for many a year, I recall that the plural of ‘Wunderkind’ is ‘Wunderkinder’.
60
‘Unless I am mistaken, we are looking at the historical tipping point having been reached.’
Maybe, but I’ll need further proof.
10
***Nit-picking alert***
I make the ECS_NF range [3.5/3.3, 4.1/3.1] = [1.06, 1.32] rather than [1.08, 1.29].
20
I was combining errors in quadrature , which is presumably why they are slightly less than yours. But yes, you’re right, it is nit-picking in this context
.
61
I appreciate your nonetheless responding; to the reader it’s helpful for possible discrepancies not to accumulate excessively.
30
I must say that to me this post might as well be written in Chinese as far as my understanding is , but all I do know is that mathematical modelling to be correct relies on certain underlying assumptions. If the assumptions are wrong then the answer is wrong. QED. Nature and time have proved warmists wrong. When are they going to admit it. How can skeptics get there message through to the media, the voters, politicians , the pope , academics, professors, school teachers etc. The power of warmists in controlling the minds of decision makers and people who influence public opinion makes skeptics job extremely difficult. If I was trying to convince laymen like myself of the fallacy that is global warming. I would have giant billboards all over the world with the graph showing the IPCC models and reality, with a tag line. Global Warming ? I don’t think so!
211
For those struggling with the maths a pictorial version might be useful.
The picture I have in mind is the spectrum of longwave radiation from the Earth, as seen from space (i.e. a satellite). Such spectra show a series of dips at absorption lines and bands, with frequencies (“colours”) determined by the atomic properties of the atmospheric gases. This is totally uncontroversial (it could be regarded as greenhouse gas phenomenology, no models or theory in sight), and has been observed for several centuries in the spectra from stars and planets (that is possibly how NASA got in on the global warming action).
Besides the absorption lines, the other key aspect of the longwave spectrum is the total area beneath the curve, i.e. the total radiated energy, which is being assumed to change such that it returns to its original value, equal to the “constant” incoming energy. Adding more CO2 deepens and broadens the absorption lines, which means that the other parts of the spectrum must increase somewhat, to get back to the original total area, i.e. the temperature (of something) must rise.
30
For a long time struggler here Mikky it would appear the ASR and the OLR do achieve equilibrium depending on the amount of EDA present which effects the TSI equation thus altering the time ASR is eventually released?
Thanks for your description too, it helps to visualise in different ways.
40
You can find such an image at the beginning of essay Sensitive Uncertainty in my ebook.
30
Wrong, the spectral lines will not broaden unless atmospheric mass increases. A lot of the smearing around the edges is caused by the instruments. This fable took root because the CO2 spectral lines are thicker on venus than earth – what could go wrong? Must be Venus’s global warming hey? However, the CO2 line for mars is THINNER than earth despite the fact that the partial pressure of CO2 at the surface of mars is TEN times that of earth. The smearing is related to instrument limitations and atmospheric density – not CO2 partial pressure.
Think of it this way, in the limit, if we increased CO2 the atmosphere would be so dense that it would be opaque, has the CO2 spectral interaction with light increased (the spectral lines broadened) to the whole spectrum? Well no! the spectral interaction will still be constrained to the wavelengths photons have to be in order to excite CO2, the opacity will be caused by other factors (scattering) that is not CO2 specific.
50
“Adding more CO2 deepens and broadens the absorption lines, which means that the other parts of the spectrum must increase somewhat, to get back to the original total area, i.e. the temperature (of something) must rise.”
This is most definitely not true with this atmosphere. The ability of this Earth’s radiative mechanism to adjust exitance by over an order of magnitude, must be considered. The amount of atmospheric WV and airborne H20 condensate varies at least that much to compensate for whatever other minor changes may occur. My hope is that Dr. Evans’ presentation will point out hints as to what this Earth’s radiative mechanism is trying to do, not what the UN/IPCC is trying to do!
213
David
Fine introduction.
According to this simple relationship (without feedback and fudge) it seems we are already in balance with the raised CO2. Especially if you use the GISS temperature. I would even say the temperature has made a little overswing.
One K since 1900 and CO2 raised from 280 to 400.
60
David’s post is an excellent summary of the main points of the IPCC’s understanding of the climate sensitivity equation where temperature feedbacks are absent or net-zero. However, some caution is advisable. One-third of the anthropogenic influence on climate since 1750 has occurred in the past 18 years 8 months, since January 1997, and yet the RSS satellites show no global warming at all throughout that period. That raises the question whether, even in the absence of temperature feedbacks, one would expect as much as 1 degree of global warming per doubling of CO2 concentration. At the World Federation of Scientists last month, a leading physicist gave a paper revealing that an error in the computer models has led to an exaggeration of the CO2 radiative forcing by 40%. That would reduce the zero-feedback climate response from 1.16 C to just 0.8 C at equilibrium.
What is more, the CMIP5 models have made a hitherto-unremarked reduction in their central estimate of feedback amplification. They’ve cut it from 2 Watts per square meter of additional radiative forcing per degree of direct warming to just 1.5 W/m2/C. And that, combined with the news that the CO2 forcing has been exaggerated, cuts the central estimate of equilibrium climate sensitivity, after all feedbacks, from 3.3 to just 1.5 C, right at the bottom of the long-standing “official” interval of estimates, and far, far too low to be any sort of a problem. Add to that the argument that David is about to unfold – and it’s a doozy – and there’ll be nothing left of the official storyline.
3117
Solar variability, volcanic activity, ENSO, PDO, anthropogenic aerosols, and just plain weather – CO2 is not the only influence on climate, and it would be absurd to expect a monotonic response to CO2 alone. In addition, the satellite record is far more affected by ENSO than the surface record.
That’s why, based on the statistics of climate variability, the generally accepted period from which you can extract a statistically significant climate trend is 30 years. Not 18 years and an ever varying number of months, pegged to an extreme 3-sigma ENSO event such as occurred in 1998.
Note: If you go one or two years shorter or longer in the RSS record you see a positive (albeit equally statistically meaningless) trend, demonstrating that your selection of the 18 years 8 months trend is just not robust.
616
Goal posts shifting again !!
117
The classical period for describing climate, as opposed to weather, is 30 years. That’s always been the case. Strong claims from data insufficient to distinguish signal from noise, such as short term trends, are meaningless. And that’s always been the case too.
72
Thirty years is WAY to short a time to determine any change in climate because of the 65 year AMO/PDO cycle,the Gleissberg 88- year solar cycle, 208 year de Vries or Suess cycle, the Bond or Dansgaard–Oeschger 1500 year cycle — to name just a few of the shorter cycles.
11
KR, I look forward to your amended comments from 2027.
22
KC,any chance that you could link to where you made the same point in 1998, or is this a spin of a reply to what you actually did say in 1998?
The chance that all the warming of the 20th century is just part of natural oscillations is pretty good. Meanwhile, the 109 month average from 1997 in RSS is 0.03°C more than that from 2006, with an uncertainty of 0.01°C (from a monthly uncertainty of 0.1°C). With 1/3 of human emissions being within this period, surely you can’t keep a straight face when you claim that the warming during the 20th century was due to human emissions.
This “what pause”is getting tedious.
72
Your trend uncertainty estimate is incorrect.
You are not estimating a single variable, but rather a trend. Even under an (incorrect) assumption of white noise variations around a trend, you are off by more than an order of magnitude. Given the autocorrelation exhibited by climate temperature data, where a warm month tends to be followed by a warm month and lokewise for colder values, the trend estimate is -0.001 ±0.169 °C/decade (2σ) [calculator here], or spanning from -0.170 to 0.168 °C/decade.
The full RSS data set trend of 0.121 °C/decade falls well within that range – that long term trend has _not_ been excluded or rejected by recent data.
Note that this is the 2σ uncertainty range, where the stats are expected to fall outside the range 5% of the time – the 1998 El Nino that these ‘no-trend’ claims are pegged to was a _3σ_ event.And cherry-picking an extrema start date makes any trend estimate from that cherry-pick far less reliable.
The take-home is that trends from data too short for statistical significance, particularly if starting/ending with cherry-picked extrema, are just not informative.
43
Somehow they’ll manage to perpetuate it Chris. This is a political movement now, a cult. We really need to shift the dialogue from attacking the scientific basis to attacking the moral arguments which underpin the cult.
My most powerful argument to date is that the warmists by desiring a reduction of CO2 to 270 PPM implicitly on their own numbers are arguing for a climate colder than the little ice age with food production some 60% less than todays. A situation known to have devastated Europe in the LIA (historical fact). There are 7 Billion souls on earth, how many can we afford to sacrifice – 60% ? 4 Billion people dead?
This is what success looks like, on the warmists own numbers
In arguing for this for example POTUS condemns the USA to famine and potentially renders some states of the union uninhabitable. On that alone I would claim the the POTUS is acting unconstitutionally by acting against the people of the USA.
82
Thanks Christopher. I might add for readers that without Christopher’s encouragement and questions we might never have got into examining the basic climate model. Christopher recognized early on that this model was key to the establishment’s belief in climate change, and for quite a few years was the one of very few challenging it in public.
I remember the first time Christopher launched into applying the SB law, hauling out the calculator he had in his top pocket and reproducing the calculation above. I was still at the stage of just weighing up the empirical evidence and realizing the CO2 theory was bunk. I recall thinking “you have got to be joking — you will never be able to explain this to an audience”. My mother, bright and literate though she is, just will not go into equations, not believe the SB law, has no awareness or practice in physical logical arguments, and will not even try to understand. Complete non-starter for climate skepticism.
Yet, here I find myself 8 years later, building on where Christopher has been, about to explain the SB law and apply it to Earth, explaining the basic model. Funny old world. (Haven’t told my mother about this blog series yet. Soon.)
91
” That raises the question whether, even in the absence of temperature feedbacks, one would expect as much as 1 degree of global warming per doubling of CO2 concentration.”
Surely what it actually calls into question is whether a relationship between temperature and CO2 concentration exists at all?
50
Does the assertion that ’1/3 of the anthropogenic influence on climate since 1750 has occurred in the past 18 years 8 months’ assume that the increase in CO2 since then is all due to humans? There’s lots of out-gassing from the oceans due to the rise in temperature since the Little Ice Age; this portion of the CO2 increase was not due to humans. It could be that he 1/3 figure is actually too low.
01
Christopher,
What is David’s analysis doing languishing in this site , surely it is better off submitted for proper comment ?
02
“What is David’s analysis doing languishing in this site ”
Because this sites gets FAR more viewing than most climate peer review journals…. DOH !!!
00
And following on from Andy’s comment, David is clearly defining and explaining the terms he uses, so that we plebians can follow along with the reasoning.
If it was “submitted for proper comment” it would immediately be criticised for not being presented in the obsfuciation and double-speak that climate seancists adore so much.
00
Ha, a bit of dyslexic there, but somehow, it appears to work, hmm?
00
Sigh,
Dr Evans has already stated both in the introduction and just now in the comments that TWO PAPERS have been submitted. This posting on Jo’s blog is to get it out to the lay audience in bite size pieces and discuss it, answer questions and vet the idea yet again..
20
Might be useful to define Lapse Rate, as it is mentioned in “The Set-Up…”, even though you have indicated that this will be explained in later posts.
20
There are two. First, it gets colder as you go higher. That is the temperature lapse rate. Second, because it gets colder, the air holds less water vapor. That is the water vapor lapse rate. The two are related by the Clausius-Clapeyron equation. Essay Humidity is still Wet in my ebook has more details.
90
Rud,
Airborne H20 condensate is not at all limited by atmospheric temperature, but is methodically ignored by meteorology. Where is the small effort needed to find out what this excess airborne water does? Besides the Anastassia Makarieva papers that is?
All the best! -will-
012
Thank you for this post David.
Once immersed in the equations and modeling, it becomes easy to sense how they can quite literally displace reality in the mind of the reader, even though they’re only intended as an heuristic representation.
60
Jo,
O/T but there is a term used here that sounds like it has promise – “Reconstructed Surface Heating”.
”
JaneHM
September 23, 2015 at 12:32 pm
Walt
The real problem here is that this is NOT data. It is time that we refer to these products coming out of NOAA and the other ‘value-adding’ groups by some other title, not ‘Surface Temperature Data”. In my lectures I now label all such plots “Reconstructed Surface Heating”. Even referring to them as “Adjusted Data” is inappropriate, as most students think that implies the data has only been instrument-calibrated. The onus with “Reconstructed Surface Heating” is then on the student (or reader) to assess whether they agree with the “Reconstruction” algorithm”
In comments at
http://wattsupwiththat.com/2015/09/23/when-messaging-collides-with-science-the-hottest-year-ever-inside-a-global-warming-pause/
40
So far, so good.
I don’t know whether Jo or David is actually doing the writing but I sure do wish I had that ability to explain things in the right order, in simple terms — at least for the subject matter — and make the thing make sense when read. I’m envious.
Right off you challenge me, which is probably good. Before I actually got my degrees I passed the complete course in calculus three times clear through elementary partial differential equations, only to find myself not needing any of it except once in my entire career — I needed to convert FFT results from peak to RMS and could not remember the conversion though it was a classroom example all three times. I’m going to have slow going.
I’m still bothered by application of laboratory results for CO2 to the atmosphere which is much more complicated than a closed container of CO2 in the lab. I hope you will get into this a little at some point because even though I’m not a research scientist, much less a climate scientist or even a research computer scientist, I know the atmosphere has a lot of complicating factors: it doesn’t actually have an average temperature, only specific temperatures at specific spots at specific times; it has convection which to me looks like it complicates matters a lot; it’s full of water vapor and clouds and these days, pollution of all kinds. No need to answer all this now but I do hope you’ll deal with it.
41
…and suddenly the red thumb shows up, apparently for nothing more than being honest.
Whoever you are, I consider you a coward for not stating your objection with your name attached to it. I do not use the red thumb myself and if I disagree with what anyone has said, I state my disagreement with my name attached to it. That you do not do the same makes you the coward I just called you, hiding your identity behind anonymity as cowards so often do.
You have my contempt for this one in particular because I have said nothing deserving of disapproval.
10
O/T – I am listening to the Alan Jones Breakfast Show online. He just played the prophetic comments from Lord Monckton about how Tony Abbott was to be guarded because he was a stand out against UN warmists https://youtu.be/NG0WcjGHkEw and mentioned the figure that man made CO2 was only around 3% of all CO2. He is also now having a rant against wind farms and interviewing Senator Madigan on the subject. He also mentioned the high cost of “green” energy and how it has ruined manufacturing. He is also talking about a CHINESE owned wind farm in Australia. EXCELLENT
92
Jo and David – why don’t you get yourselves interviewed by Alan Jones (2GB Sydney)?
72
Yes David and Jo why not ask Alan Jones for an interview. Best to come from Lord Monckton perhaps?
30
Depending on how this series goes and is received, after it is done we might. People who tend to initiate such things already have mentioned the possibility.
60
David, he starts at 3.30am here. Possibly if I stay up really late I might be able to do one of his breakfast spots…
20
progress!
40
Thank you Dr Evans.
I think we should be patient and understanding that you are starting with the simple assumption that CO2 & T are the only things that change. This was clearly stated in your post. Other things will be discussed in future posts.
60
Taking a step back we could ask what purpose or use is there in having a CO2 vs Atm Temp model anyhow.
There is no real benefit to humanity and I believe that the only purpose of the IPCCCC Models was to allow detail of the scam to be covered up and the UN to exercise control over us.
” The “modelling” issue has the potential to cause confusion and loss of clarity in arguing the point that man made CO2 is irrelevant to any real or imaginary Global Temperature Change.
By it’s very definition a model has certain requirements that must be met.
First a model has one or more input factors which are variable (eg atmospheric CO2 level) and when this variable changes the model must register changes in another factor (eg atmospheric temperature) which shows conclusively that the two factors, input and output,
are linked. The most important requirement however is that the output must duplicate reality.
By definition a model successfully duplicates reality in some range of operation and allows extension, and prediction, outside the measured limits used to verify the model.
A model which does not duplicate reality is by definition NOT A MODEL.
Global Climate models have NEVER duplicated reality in any way and by definition cannot be claimed to be models.
They are mind games.
This is why I feel that great care should be used in discussing “Climate Models” because to do so might give them credibility in the eyes of the uninitiated to which they are not entitled.
The fact that Models are so abused by the Climate Community Academics is nothing short of an academic scandal of gigantic proportions.
Deceit knows no bounds.
http://joannenova.com.au/2012/03/climate-coup-the-politics/#comment-1010081
“The other truth which anyone with real modelling training knows is that some systems are
just too complex to model.
The Earth’s climate is just such a system.
To pretend that it can be modeled in it’s entirety is either enormous self delusion as
demonstrated by politicians or cynical deception as exhibited by armies of climate
academics.”
I appreciate David’s approach, which is to say that “this is what climate scientists say” He is then going to show errors in the model constructs which defuses the CO2 issue to some extent. Progress.
KK
92
Good observation, it’s what I’ve been trying to get at. The earth’s atmosphere has so many sources, sinks, feedbacks and saturation points of different strengths and periods some of which interact with each other that it is impossible to model. To say that even R=A is true in such a context is a huge stretch in my opinion. In a test tube, yes, at the most basic level you could say that, but in a real atmosphere? On a planet that is 70% ocean, No way! Far too nuanced for simple averaging. We are just arguing how many angels can dance on the head of a needle.
What I want to hear are the climatologists and IPCC saying, “you know what, we don’t know enough to say”
81
Thanks bobl
The time delays and cyclical interactions of many of the processes in the biosphere make a FULL MODEL absolutely impossible.
The fact is that : There are NO Models as claimed.
By definition, a model must be shown to work. The Models are simply works in progress.
KK
51
Plenty have and do say “We don’t know”, it’s just that the MSM don’t publish that, any more than the headline is ever “Motor vehicle accident deaths lowest in 50 years” or similar – it may be true, but if it doesn’t sell “news”, it’s not published.
21
Understanding that this is an explanation of general application of some constants. The reason I believe the application is dumb comes from a an examination of the measured transmittance of H20 and CO2 and looking at the PPM of H20 vs Dewpoint Temps. The ratio of PPM of H20 to CO2 make the CO2 meaningless in tropical area where most of the energy from the Sum warms the Earth.
I believe the Dr,2x of 3.7W/m-2 is unrealistic. I look at that graphs and cannot see how anyone who comprehends physics believes them.
50
When I wrote the above I thought these images would be in my post. Will the links appear in my reply.
http://toms.homeip.net/global_warming/nist.gov-H20-n-CO2-trans-update.gif
http://toms.homeip.net/global_warming/SpreadSheets/Goff-Gratch-PPM-daisies.gif
10
Is this why abbott was “removed”?
http://www.msn.com/en-au/news/australia/tony-abbotts-department-discussed-investigation-into-bureau-of-meteorology-over-global-warming-exaggeration-claims-foi-documents-reveal/ar-AAeH1xI?li=AAavLaF&ocid=mailsignoutmd
“Former prime minister Tony Abbott’s own department discussed setting up an investigation into the Bureau of Meteorology amid media claims it was exaggerating estimates of global warming, Freedom of Information documents have revealed.
In August and September 2014, The Australian newspaper published reports questioning the Bureau of Meteorology’s (BoM) methodology for analysing temperatures, reporting claims BoM was “wilfully ignoring evidence that contradicts its own propaganda”.
With seven of Australia’s 10 warmest years on record being in the last 13 years and warnings climate change will bring disastrous impacts for Australia, the accuracy and integrity of temperature information is crucial.
The BoM strongly rejected assertions it was altering climate records to exaggerate estimates of global warming.
Nevertheless, documents obtained by the ABC under Freedom of Information show just weeks after the articles were published, Mr Abbott’s own department canvassed using a taskforce to carry out “due diligence” on the BoM’s climate records.”
101
Why aren’t we reading about that in the lamestream media? And more than likely it was one of the reasons for his removal. See Lord Monckton’s comments https://youtu.be/NG0WcjGHkEw
The other reason that I’m probably not allowed to go into too much detail on this blog is that he wasn’t as keen as someone else to embrace a certain pervasive political ideology causing all sorts of trouble around the world.
41
Regards the ideological nonsense that you refer to so effectively obliquely – As my rather clever grandmother used to say –
“If all your ( dumb ) mates jumped off the roof, would you too?”
This lot have started skydiving, but have to a man forgotten to put on the parachute – gunna be messy at the end, mark my words….
Nuff said….
40
Good find Steve.
10
while climate science is being debated here…it is of no concern to the CAGW crowd:
22 Sept: AFR: Primrose Riordan: Greg Hunt ‘very supportive’ of renewables industry
Environment Minister Greg Hunt says the renewables industry should feel “very supported” under Prime Minister Malcolm Turnbull…
Mr Hunt has also said he would seek ways for Australia to “do more” on climate change with Mr Turnbull after the United Nations conference in Paris, and said the appointment of five new members of the Climate Change Authority board was delayed by the leadership spill…
In retaining control of the portfolio under Mr Turnbull, Mr Hunt confirmed he had taken control of the Clean Energy Finance Corporation and the Australian Renewable Energy Agency, which funded renewables, a sign they may not be axed…
He said dropping the government’s policy to abolish ARENA and the CEFC would be “a return to common sense” and would “help to defuse much of the political risk that has continued to cloud investment under the former prime minister”…
Mr Hunt also revealed he was about to appoint five new members to the Climate Change Authority board before last week’s leadership change delayed the decision.
“We were almost in the position to appoint five new members to the board that I suspect will be all high quality in any event. We were very close then there were some changes,” he said.
He said after a portfolio direction meeting expected in the next week or so, he was likely to move ahead with the appointments…
But Mr Hunt said the government was considering further action on climate change…
“Malcolm is passionate about the global climate challenge, and I am passionate about it.” …
***Mr Hunt said “the door was open” for international permits to be considered as part of a 2017-18 review of the emissions reduction fund and safeguards.
Of all climate policies, polling has shown that incentives to the renewable sector are popular…
http://www.afr.com/news/politics/greg-hunt-very-supportive-of-renewables-industry-20150922-gjse3p
***where are the Nationals?
of course Christopher Monckton should have a thread re his accurate predictions. in fact, Monckton’s predictions should be on the front page of all newspapers, on TV & radio news bulletins, etc.
I’ve continued to post at the ‘Turnbull is already saying climate policies are “not set in stone”. Beware the emissions trading scheme’ thread, for those who are not qualified to comment on the science.
71
Pat,
How strong are the Nationals in their resolve? If Hunt carries on as he seems to clearly intending, would the cross the floor of the house? Would push for a vote of no confidence?
20
Apologies for the poor typing above. It should read as
“… would they cross the floor of the house? Would they push for a no confidence motion?”
10
David,
Early in your maths you use log to base 2 for absorbance.
I have always used base 10 as in Beer Lambert.
You must be correct because you have been through it many times.
20
One can use any base of logarithm — one just multiplies by a constant to convert a base-10 algorithm to the corresponding base-2 logarithm, for instance.
In this application, where the metric for sensitivity is conventionally a doubling of CO2, it is more convenient to use base-2 (a doubling increases a base-2 logarithm by one, can’t get simpler than that).
50
My count is that more than 50% of posts here are from people who don’t just think that climate models are flawed but who think that the very physics behind them is wrong (therefore object to DE’s approach) and/or they think there is a scam being perpetrated (Pierrehumbert must be the scammers bible – albeit one that is unread by most here).
I find it funny though that the variant and unsupported by data alternative physicses are different from each other. It might not be so funny as this series progresses. What I am hoping’ for the sake of an interested reader and for David’s benefit, is that repetitive indignant unhelpful bluster from the hobby theoreticians will be moderated.
411
I don’t resemble that remark : “repetitive indignant unhelpful bluster”.
But on second thoughts I hope that wasn’t directed at me?
I have a high regard for David and Lord Monckton and while there is no real problem in David’s method of approach here of dismantling the UNIPCCCC “models” (I prefer to call them Computer Simulations) a few of us have indicated that untested models are inherently uncertain.
This particular Modeling of CO2 vs Temp Atm is extremely unlikely of solution in the next 100 years or so.
David and Lord Monckton both have strengths in mathematics and this approach is the best way for David to undo the current GCMs (models).
Others of us, had we the skill and energy, might look at destroying the basis of the Climate Farce by an approach relying on the analysis of any CO2 inputs against other energy sources and sinks in the system. It is easy.
Most geologists inherently know that the CO2 mythology is wrong because they have come to an understanding of past CO2 levels, past ocean levels, tectonic plate movement but especially the driving force behind the last ice age and its repetitive nature.
It’s all written in stone and the orbital mechanics of our Solar System.
KK
91
well it wasn’t directed at you but you did then proceed to follow that up with 6 or so paragraphs that were unsupported and bluster – untested, extremely unlikely, destroying, farce, inherently, mythology, wrong,
310
Thanks GA
It wasn’t but now it is. Blotted my copybook.
But really this Warming business at its heart is really only about one thing.
ngân hàng
KK
40
I suppose I fall into the category of hobby theorist , but since all the experts and all the genius’s on the subject appear to know jack shit about the subject, then I feel inclined to have and use my confirmation bias on a daily basis from sites such as this.
I am looking forward very much to the rest of this series and to the startling revelations and conclusions Jo alluded to in part 1 .
CO2 innocent OK?
When I was young I asked my physics teacher , “could a fly stop a locomotive?” In my innocent view I could not see how a fly crashing into a train could be going one way and then the other without a “pause” When the the mechanics of moments of inertia was explained to me I still had a teeny weeny doubt ,but of course now accept the principals involved.
So with CAGW we are the flies , they are the train ,nothing but absolute derailment can save us.
Of course this metaphor of flies and trains can be used in many other areas ,especially with regard to CO2 , the fly , Our atmosphere and all that prevails within and without it ,the overwhelming force.
21
In every myth or false belief, there will likely be a tiny grain of truth. The error is in its application, extrapolation beyond realistic bounds, and the failure to integrated the notion in the full relevant context of reality. It doesn’t take a very large departure from the very narrow context of that grain of truth for a simulation based upon it to go wildly wrong.
Thus the truth behind that famous line in a play: “There are more things in heaven and earth, Horatio, Than are dreamt of in your philosophy.” WILLIAM SHAKESPEARE / Hamlet Act 1. Scene V
Shakespeare wasn’t a scientist but he knew more genuine science than the current clueless gang calling themselves climate scientists.
91
There is no greater lie than half the truth when used for the purpose of deception.
70
“OLR and surface Temperature”
First a thanks to Jo and Dr Evans .. enjoying the series so far
I am interested to understand the claim in Principles of Planetary Climate that OLR becomes independent of surface temperature (Kombayashi-Ingersoll limit), this condition or state is a result of the planet not being able to get rid of all the solar energy it receives no matter how much it warms up.
I always thought that emissions from the surface were dependent on the surface composition, and is there such a state where the atmosphere becomes completely opaque to LW from the surface.
20
am about to post the following on the “Turnnbull” thread:
24 Sept: Guardian: Daniel Hurst: Abbott considered investigation into ‘exaggerated’ Bureau of Meteorology temperature data
Documents show former PM was briefed on setting up a taskforce into whether the Bureau of Meteorology exaggerated records – as claimed in the Australian
But the environment minister, Greg Hunt, pushed for the then prime minister to drop the idea.
The documents, obtained by the ABC under freedom of information laws, show the Department of the Prime Minister and Cabinet (PM&C) prepared a brief for Abbott in September 2014 noting that recent articles published by the Australian had “accused [the bureau] of altering its temperature data records to exaggerate estimates of global warming”.
The brief said the bureau’s climate records were “recognised internationally as among the best in the world” and used “a scientific approach that has been peer-reviewed”.
“Nevertheless, the public need confidence information on Australia’s, and the world’s, climate is reliable and based on the best available science,” the then secretary of PM&C, Ian Watt, wrote…
PM&C subsequently prepared a new brief for Abbott suggesting he agree to amending the terms of reference for the taskforce so that it would merely provide “coordination and advice” on “quality assured climate and emissions data for Australia”. The brief said Bishop had “agreed to the removal of reference” to the bureau…
http://www.theguardian.com/australia-news/2015/sep/24/abbott-considered-investigation-into-exaggerated-bom-temperature-data
AUDIO: 14mins48secs: 24 Sept: 2GB: Alan Jones – John Madigan
Alan talks to the independent Victorian senator about corruption and fraud in the wind power industry
http://www.2gb.com/audioplayer/129556
Pat, I’m setting up a thread for this – Jo
51
good idea as a separate thread… one congratulating the ABC for uncovering this
03
Jake Sturmer deserves the credit, might be another Walkley in this.
10
In equation 4 above, the variability is given as 0.1 watt per meter squared / C and the “Plank feedback” variability was given as 0.1 C/ watt per meter squared. Since these quantities are reciprocals, the variability should not be the same number. Is this just done for simplification?
00
Oops. Thank you Scott! Fixed.
The uncertainty in the Planck sensitivity (0.31 C per W/m2) should be 0.01 C per W/m2, or about 3%, not 0.1 C per W/m2 as originally stated.
30
Excellent finds Pat. Looking forward to reading the thread on this. As a former industry insider, I was nodding knowingly while listening to and reading Sen. Madigans thoughts.
30
The very proposition that the monotonic rise in CO2 gave rise to the blip in termperatures in the late 1980s, since stopped completely, is rubbish. Analysing the physics model covers up the fact that there is no reason to believe CO2 is significant at all. Any effect is transparently tiny, unless there was an equal and opposite second effect which cancelled out the rise. What we saw was a step function, not a smooth change. While analysing the CO2 driven model is interesting, it avoids the elephant. There is almost no fossil fuel in the atmosphere anyway.
The premise of the IPCC and the entire warming industry is that man released CO2 has produced a (sudden) change in temperature.
A scientist would first want to know how much of the obvious 50% increase in CO2 was from fossil fuel.
The answer is under 4%, as determined by Dr. Suess in the 1950s. So why this persistence in analysing a model which was constructed to explain a warming over which we have no control and to justify a proposition which has been plainly discredited, as there has been no significant temperature rise in 20 years? Not only does CO2 not wholly and solely and substantially affect the planet’s temperature, the amount of CO2 in the air is not controllable by man at all. It is not due to fossil fuels.
The model as proposed is interesting, simplistic and hopelessly inadequate to explain the past let alone predict the future. As for the proposition that Climate Change and any ‘extreme events’ including floods, drought, even earthquakes, volcanoes, bushfires and tsunamis are due to a change in temperature, what change in temperature? How can CO2 change the climate if it cannot even affect the temperature.
In a way, the IPCC model, constructed simply to justify an attack on Western economies, needs to be challenged at the very start of their logic, the idea that CO2 hangs around for hundreds of years. It can be demonstrated by simple obversation that this is utter nonsense. Without this, their convenient, self serving, unjustified and utterly broken CO2 driven warming model is just silly and irrelevant, apart from being demonstrably wrong.
Man made global warming/climate change is a fabrication to serve a purpose and a declared UN agenda, nothing more.
We need Tony Abbott back. Lord Monckton warned that huge money was being spent to unseat the Australian and Canadian Prime Ministers before Paris. He was right. Newbie MPs desperate to hold onto their jobs denied the very idea which gave them their jobs. Once again we have a government elected on the clear promise that there will be no carbon tax and exposing the victory of greed over ethics. They are gambling that with all three parties offering a carbon tax, voters will have nowhere to go. This could lead to a split in the Liberal party, which at least would give voters a choice.
82
Well written, David.
While not a good mathematician, I’ve had too much experience in physical chemistry to look at it with a laymans’s eyes but I still think that you did a very good job of explaining things to a non-scientist. As good as one could considering the material.
30
I don’t think Malcolm Turnbull will make the same mistake twice. The Libs deposed him before when enough of them realised that emissions trading schemes tend to make huge amounts for the trading houses, hedge funds and the like and therefore became suspicious of how much Turnbull’s advocacy might have been due to self interest given his investments.
He is a very intelligent man. Surely he is no so stupid to really believe the global warming lies particularly after what has been happening in the last few years.
30
What an encouraging comment! Are there actually politicians that can think?
29
Heat or energy does not spontaneously go against (uphill).
Electromagnetic Radiative flux, EMR flux is never heat energy. EMR obeys Maxwell’s equations. What an absorber does with such EMR flux is up to the absorber. Thermal EMR flux also obeys the Clausius second law about spontaneity!
In industry a 500 kW CO2 laser emittance at 10.6 microns wavelength is carefully applied to ground and polished steel gear teeth, but not to grow vegetables.
That is controlled absorptance of energy, plus controlled dissipation of that energy via control of environmental temperature.
This known process can and does produce gear teeth with the highest surface hardness (lowest wear) and highest toughness (resistance to breakage). This has been figured out by mere Earthlings but never by Professors. Some do, others can only profess.
All the best! -will-
413
Earlier in the series, a commentator bemoaned the fact that this series (is not/will not) be published in the “peer-reviewed” literature.
It seems to me that it is getting an order-of-magnitude more ‘peer-review’ here than the supposed “peer-review” of thousands of published papers, combined. If memory serves, Dr. Evans provided the first iteration of his idea, and the review(s) forced a complete revamping of the original paper, which we are now in the process of reviewing, revising, questioning, and having the author justify his parameters/assumptions (which every model has to have — – limitations of the ability to simulate a complex system). This process is taking place right out in the open, with no place to hide if something wrong is found. Can we say the same for the likes of Mann, Trenberth, Jones, …
Is Dr. Evans correct? Heck, I do not know. While I can follow the Math and the Physics in the proposal, there will always be those factors which we cannot account for, or do not even know. I do know that this is looking like an advance in the field of climate science, and is a far better idea than what is being peddled by the IPCC et al.
Published in the “peer-reviewed” literature? I think it IS!
Vlad
22
David
You say “AR5 gets this value from the current ensemble of climate models, each of which notes how much the OLR increases with surface temperature, holding all else constant. Before this starts sounding suspiciously circular, later in this series of blog posts we verify this value from scratch—from the Stefan-Boltzmann law, an OLR model, and a spreadsheet calculation.”
The argument is indeed entirely circular. It is the value necessary to match the output of climate models and has no empirical basis. In fact the IPCC itself, has seen the light ,thrown up its hands, and given up on calculating a meaningful climate sensitivity – the AR5 SPM says ( hidden away in a footnote)
“No best estimate for equilibrium climate sensitivity can now be given because of a lack of agreement on values across assessed lines of evidence and studies”
but paradoxically they still claim that we can dial up a desired temperature by controlling CO2 levels .This is cognitive dissonance so extreme as to be crazy.
The opening section of the blog post at
http://climatesense-norpag.blogspot.com/2014/07/climate-forecasting-methods-and-cooling.html
says
“1.1 The Inherent Inutility of the Modeling Approach when Dealing with Complex Systems
The CAGW meme and by extension the climate and energy policies of most Western Governments are built on the outputs of climate models. In spite of the inability of weather models to forecast more than about 10 days ahead, the climate modelers have deluded themselves, their employers, the grant giving agencies, the politicians and the general public into believing that they could build climate models capable of accurately forecasting global temperatures for decades and centuries to come. Commenting on this naive reductionist approach, Harrison and Stainforth say in: http://onlinelibrary.wiley.com/doi/10.1029/eost2009EO13/pdf
“”Reductionism argues that deterministic approaches to science and positivist views of causation are the appropriate methodologies for exploring complex, multivariate systems … where the behavior of a complex system can be deduced from the fundamental reductionist understanding. Rather, large, complex systems may be better understood, and perhaps only understood, in terms of observed, emergent behavior. The practical implication is that there exist system behaviors and structures that are not amenable to explanation or prediction by reductionist methodologies … the GCM is the numerical solution of a complex but purely deterministic set of nonlinear partial differential equations over a defined spatiotemporal grid, and no attempt is made to introduce any quantification of uncertainty into its construction … [T]he reductionist argument that large scale behaviour can be represented by the aggregative effects of smaller scale process has never been validated in the context of natural environmental systems … An explosion of uncertainty arises when a climate change impact assessment aims to inform national and local adaptation decisions, because uncertainties accumulate from the various levels of the assessment. Climate impact assessments undertaken for the purposes of adaptation decisions(sometimes called end-to-end analyses)propagate these uncertainties and generate large uncertainty ranges in climate impacts. These studies also find that the impacts are highly conditional on assumptions made in the assessment, for example, with respect to weightings of global climate models(GCMs)—according to some criteria, such as performance against past observations—or to the combination of GCMs used .Future prospects for reducing these large uncertainties remain limited for several reasons. Computational restrictions have thus far restricted the uncertainty space explored in model simulations, so uncertainty in climate predictions may well increase even as computational power increases. … The search for objective constraints with which to reduce the uncertainty in regional predictions has proven elusive. The problem of equifinality (sometimes also called the problem of “model identifiability”) – that different model structures and different parameter sets of a model can produce similar observed behavior of the system under study – has rarely been addressed.”
The temperature projections of the IPCC – UK Met office models and all the impact studies which derive from them have no solid foundation in empirical science being derived from inherently useless and specifically structurally flawed models. They provide no basis for the discussion of future climate trends and represent an enormous waste of time and money. As a foundation for Governmental climate and energy policy their forecasts are already seen to be grossly in error and are therefore worse than useless.
A new forecasting method needs to be adopted. For forecasts of the timing and extent of the coming cooling based on the natural solar activity cycles – most importantly the millennial cycle – and using the neutron count and 10Be record as the most useful proxy for solar activity check my blog-post at
http://climatesense-norpag.blogspot.com/2014/07/climate-forecasting-methods-and-cooling.html
(Section 1 has a complete discussion of the uselessness of the climate models.)
04
That quote refers to the Planck sensitivity or feedback, not the ECS. It is not circular. Later in the series, after covering the appropriate background, I’ll present a spreadsheet calculation that estimates the Planck sensitivity from scratch and gets the same answer as the IPCC.
21
I’m looking forward following this series, and agree you are gifted at explaining complexity.
One thing keeps bothering me, and I’m wondering if it will appear somewhere in the series. Your starting point is Absorbed SW, as it must be for the equations to apply. But that is after albedo effects, although I see surface albedo considered explicitly. But isn’t cloud albedo one hypothesized feedback that is potentially very large, i.e., more cloud reflected SW energy, less warming?
Will that enter into consideration somewhere in the series?
00
Albedo seems to be the key to a lot of climate behavior, and we will paying a lot of attention to it. Yes, we take surface and cloud albedos into account. We partition their cloud feedback figure into SW and LW (the IPCC source papers provide enough detail), and take the LW as cloud albedo.
11
Dr. Evans, when I read this late last night, I notice you had not equated Planck feedback to a letter. I assume it is lambda.
The same goes with Planck sensitivity. I assume that is D.
Both need to be placed in the table.
Thanks.
00
There is now a Nomenclature pdf, linked from the author line (below the title, after Joanne’s introduction) on posts from here on.
10
Thank you Dr Evans.
10
Tour problem is religious. You have to get over your superstition that carbon dioxide can warm the atmosphere by its greenhouse effect.
You must forget fancy diagrams and partial differential equations – you won’t need them to understand what is going on. Let’s start by looking at the climate outside right now. You will have heard that there has been no global warming for the last 18 years. This is the so-called warming ‘pause’ or ‘hiatus.’ During this hiatus carbon dioxide keeps increasing but temperature does not.
The Arrhenius greenhouse theory, used by the IPCC, requires that addition of carbon dioxide to the atmosphere must warm it. Since this is not happening the Arrhenius theory has made a wrong prediction and belongs in the waste basket of history.
The only greenhouse theory that can correctly explain this is MGT, the Miskolczi greenhouse theory. It came out in 2007 but you are ignorant of it because it was suppressed immediately by the IPCC. They did not not like its predictions. According to the MGT, carbon dioxide and water vapor in the atmosphere establish a joint optimal absorption window in the infrared whose optical thickness is 1.87. The latter value was obtained from the analysis of radiosonde measurements.If you now add carbon dioxide to atmosphere it will start to absorb in the IR just as the Arrhenius theory predicts. But this will increase the optical thickness. And as soon as this happens water vapor will start to diminish, rain out, and the original optical thickness is restored. The added carbon dioxide will keep absorbing, but the total absorbance of the mix has has gone down because of the reduction of water vapor in the air and no greenhouse warming is possible. And that is what explains the observed lack of warming. You can double carbon dioxide that way but you still won’t get any warming.
In terms of sensitivity, we can say that the hiatus has set the sensitivity to zero. That of course does not sit well with warmists and there are now several dozen articles out trying to prove that the hiatus does not exist.Some of them are looking for the lost heat on the ocean bottom, a few use falsified data, and all of them fail to perceive that the lost heat just absconded into outer space before they even got started.
What they don’t know is that they all have been kept completely in the dark about the true hiatus situation. Namely, they do not know, along with the rest of us, that there was another hiatus in the eighties and nineties that was covered up py official temperature guardians. I discovered its former existence while doing research for my book “What Warming?” in 2008. It was a complete stoppage of warming from 1979 to 1998, an 18 year stretch like the current one. I determined that HadCRUT3, GISS, and NCDC were all involved in the coverup. I kept mentioning this periodically but nothing happened.
Finally, after commenting about it on Bishop Hill and on ClimateSceptics web sites, one of the readers unearthed an old NASA document proving that the hiatus of the eighties and nineties was real and not some paranoid delusion of mine.
Since now we have two hiatuses in action, not one, they jointly cover the bulk of the satellite era that began in 1979 and in effect render it greenhouse-free.
016
Dr. Evans, do you have a paper on this subject in a journal I could access?
About all the discussions re Venus and Mars. The following is from the American Chemical Society
“The atmosphere of Mars, at a total pressure of 0.64 kPa (about 1/160 that of Earth), is 95% CO2. The amount of CO2 in a column of the Martian atmosphere is about 17 times greater than in a similar column of Earth’s atmosphere. However, the collisional broadening of the CO2 absorption and emission lines in the thin Martian atmosphere is much less than on Earth. This factor, together with the lower temperatures on Mars, reduces the absorptivities and emissivities enough to make the CO2 atmospheric warming effect on Mars weaker than that on Earth. (The lack of water on Mars also means that the water vapor feedback that amplifies the CO2 atmospheric warming on Earth is not operative on Mars.) Exactly the opposite is the case for Venus with an atmosphere that is about 97% CO2 at a total pressure of 9300 kPa (more than 90 times that of Earth). The collisional broadening of the CO2 spectral lines is larger than on Earth and extends high into the Venusian atmosphere. This factor, and the higher temperature on Venus, increases the absorptivities and emissivities so much that Venus is sometimes characterized as having a runaway greenhouse effect that makes the Venusian surface temperature about 500 K higher than it would be without the atmospheric warming.”
00
Dennis, sorry I don’t have any recommendations for papers on books on the atmospheres of Venus and Mars. I mainly focus on Earth.
The Pierrehumbert textbook in the references above has a free link and talks about Mars and Venus in part I see.
00
[...] myth. The claim that 97 percent of scientists believe in man-made global warming is one such myth. Almost all scientists expect a small man-made contribution to warming, so the claim is [...]
00